Yasak meyvenin yenmesi ile cennetten kovulan Âdem’in hikâyesi yaratılışı anlatsa da içerisinde semboller barındırır. Elma yasaklanan eylemlerin yerine geçen bir semboldür ve sanırım bu hikâyeye göre insanlığın elmayla tanışıklığı çok eskiye dayanmaktadır. Tarihteki diğer elma Isaac Newton’un kafasına düşen ve yer çekimini matematiksel bir zemine oturmasını sağlayan elmadır. Tabi bunun da sembolik mi yoksa gerçek mi olduğunu bilmiyoruz. Tanışık olduğumuz üçüncü elma ise ısırılmış elma logosu ile bugün hız kesmeden, sürekli son teknoloji kullanarak bilgisayar ve iletişim araçları üreten Apple firmasına aittir. Bilgisayarların babası olarak bilinen Alan Turing’in kendini siyanür enjekte edilmiş bir elmayı yiyerek öldürmesine ithafen tasarlanmış bir logo olduğu söyleniyor. Her ne kadar bu üç elma hikâyesi gerçek veya kurgusal da olsa, insanlığın başlangıcı itibariyle bilimsel, sosyolojik ve ahlaki gelişmeleri ve bu gelişmeler ışığında üretilen teknolojiyi anlamak açısından önemlidir.
Bugün, gezegenler arasındaki dengeyi, ulaşım araçlarının çalışma prensiplerini, elektriğin iletimini ve dahası optik sistemi, Newton ve şu anda isimlerini tek tek anamayacağımız kadar çok sayıda bilim insanına borçluyuz. Her bir bilim insanı algı ve anlama becerimize katkıda bulunmuştur. Geçen zaman içinde oluşan kolektif bilgi birikimi, üzerinde yaşadığımız dünya ve evren hakkında önümüze detaylı fotoğraflar koymuştur ve bu süreç her gün artan bir hızla devam etmektedir.
Fakat 20. yy’ın başlarında fizik bilimi ile ilgili, etkisi günümüze kadar uzanan birtakım gelişmeler yaşandı. Bu gelişmeler insanlığın maddeye bakışını değiştirirken beraberinde felsefik tartışmalara da yol açtı. Yeni fikirler, kendinden önceki fikirlerle açıklanmaya çalışıldı. Hararetli tartışmalar yaşanırken doğaya ve maddeye dair yeni bir bakış açısı yavaş yavaş kendine yer edindi. Bugün kuantum mekaniği adı ile bilinen yeni fizik alanını bu gelişmelere borçluyuz. Yandaki resimde 1927 yılında Solvey’de çekilmiş bir fotoğraf bulunmaktadır ve bahsi geçen bu gelişmelerin baş aktörleri fotoğrafta yerlerini almıştır.
Konuya yüzeysel yaklaşan çoğu birey bugün kuantum fiziğinin, Newton’un açıkladığı klasik fizik yasalarını yanlışladığını düşünmektedir. Oysa Kuantum fiziği, atomik seviyede gerçekleşen olayların daha çok matematiksel bir betimlemesidir. Yandaki şekle baktığımızda, ışık hızından çok daha küçük ve nanometre boyutlarından yüksek boyutlarda klasik fizik yasaları geçerliyken, aynı boyutlarda ışık hızına yaklaşıldığında, göreli fizik yasaları olan biteni açıklamaktadır. Nanometreden daha küçük boyutlara inildiğinde, olaylar kuantum fiziği yasaları ile açıklanabilirken, hem nanometreden daha küçük, hem de ışık hızına yakın olan limitlerde Kuantum Alan Teorisi adı ile bilinen yaklaşımlar konuya açıklık getirmektedir. Özetle kuantum fiziğinin söyledikleri klasik fiziğin söylediklerini yanlışlamamaktadır. Her ikisi de uzayın farklı limitlerinde geçerliliğini sürdürmektedir.
Zaman içinde oluşan bilgi birikimi, bölünemez ve parçalanamaz atom fikrinden, bu atomların sahip olduğu elektronların bulunabilecekleri bölgelerin olasılık dâhilinde tespit edilebileceği seviyesine kadar geldi. Bugün kimyada orbital denilen kavramlar, kuantum fiziğinin ürünü olan tanımlamalar. Bu sayede atom çekirdeği ve sakladığı devasa enerji biliniyor. Bu enerjinin insanlık için ne amaçla kullanılabileceği ise kısmen bir muamma. Konu dışına çıkmamak adına bu mesele her ne kadar önemli de olsa bu çalışmada değinmeyeceğim.
Kuantum fiziğinin gelişme döneminde hocaların öğrencilerine çoğunlukla ‘’hesapla ve geç’’ dediği bilinir. Bu söz kuantum fiziğinin düşünsel temellerinin anlaşılmasının çok güç olduğunu, daha doğrusu yıllarca hükmünü sürdüğü klasik fizik yasalarının düşünsel ve kavramsal açıklamalarından farklı olduğunu gösterir. Bu farklılıkları şöyle sıralayabiliriz. Kuantum mekaniksel parçacıkların, konumu, hızı ve enerjisi net olarak belirlenemiyor, bu fenomenlerle ilgili bilgiler ancak bir belirsizlik dâhilinde açıklanabiliyor. Hakkında bilgi sahibi olduğumuz parçacığın durumundaki gerçekliği tam olarak ifade edemiyoruz Ayrıca kuantum mekaniksel parçacıkların durumları, dalga fonksiyonu denilen matematiksel bir fonksiyon ile tanımlanır ve bu dalga fonksiyonu parçacık hakkında öğrenmek istediğimiz tüm bilgileri olasılıklar dâhilinde bize söyler. Anlaşılması güç olan başka bir boyut da, klasik fizikte ölçülebilen tüm niceliklerin, kuantum fiziğinde matematiksel bir işlemci olarak tanımlanmasıdır. Ölçmek istediğimiz niceliğin hakkında bilgi sahibi olmak istediğimizde, bu niceliğin işlemci karşılığı, söz konusu kuantum mekaniksel sistemi temsil eden dalga fonksiyonu üzerine etki edebilecek bir fonksiyonu uygulayarak olası değeri hesaplarız. Bu kavramlar kuantum fiziğini, klasik fizikten ayıran kavramlardır.
Ünlü kedisi ile bilinen Schrödinger’in denkleminin çözümü ile ortaya çıkan dalga fonksiyonu, çözümlerin lineer bir kombinasyonunun da bir çözüm olabileceğini söyler. Bu ise çözümlerin üst üste binmiş gerçeklikler olduğunu bize söylemektedir. Ünlü düşünce deneyinde kedinin ölümü yoksa hayatta mı olduğu sorusu bu matematiksel çözüme dayanmaktadır.
Bugün Kuantum mekaniksel parçacıkların süperpozisyon durumunda olması ve klasik fizikte karşılığı olmayan bu kavram, kuantum fiziğini klasik fizikten ayıran en önemli kavramlardan biridir.
Kuantum fiziği her ne kadar matematiksel temelli ve olasılıksal yaklaşımlı bir kuram da olsa, sonuçları günümüz teknolojisinin, bilgi edinme ve bilgi işleme yetisinin temelini oluşturmaktadır. Işığın ve maddenin yapısını oluşturan atomun anlaşılması, ışık ile maddenin etkileşiminin önünü açtı. Bugün spektroskopi denilen yöntemlerin tamamı kuantum fiziğinin sonuçlarına dayanmaktadır. Tıp, sanayi ve askeri alanlarda birçok inceleme, tanı ve tedavi yöntemleri bu sayede gerçekleşmektedir. Benzer olarak elektronun davranışının açıklanması, bugün elektron mikroskobu denilen ve maddenin derinliklerine kadar inip orada ne olup bittiğini görebilmemizi sağlayan cihazları insanlığa sundu.
Nükleer enerjinin insanlığa sunulması, ilaç teknolojilerinde gelişmeler ve yakın gelecekte olacak buluşlar yine kuantum fiziğinin sonuçları sayesinde gerçekleşecektir. Bu su götürmez bir gerçektir.
Ayrıca bu çalışmanın esas konusu olan bilgi işleme ve depolama gibi klasik bilgisayarların yaptığı işlemlerdeki gelişmeler yine kuantum fiziğinin sonuçları sayesinde gerçekleşmiştir. Her ne kadar klasik bilgisayar denilse de atom, molekül ve kristallerin kuantum mekaniksel yapılarının anlaşılması sayesinde bugünkü bilgisayar donanımı teknolojisine ulaşılmıştır..
Maddenin yeni görüşü itirazları da beraberinde getirdi. 1935 yılında Einstein ve iki arkadaşı, kuantum fiziğinin henüz tamamlanmamış bir kuram olduğunu iddia ettiler. Ancak itirazlarına yapılan her bir açıklama kuantum fiziğinin geçerliliğini bir kez daha onayladı. Kuantum fiziğini klasik fizikten ayıran en önemli açıklama; kuantum fiziğinin yerel olmayan bir kuram olmasıdır. Klasik fizikte, belirli bir uzamda ve zamanda gerçekleşen bir olayın etkisi önce yakın çevresini etkiler ve bu akış sebep sonuç ilişkisini belirler. Ancak kuantum mekaniksel parçacıklar aralarındaki mesafenin önemi olmaksızın birbirlerini etkileyebilirler. Bu dolanıklık olarak açıklanan bir özelliktir ve süperpozisyon özelliğinden sonra kuantum mekaniğinde olup klasik fizikte karşılığı olmayan bir kavramdır.
Dolanıklık başlangıçta birbiri ile etkileşime girmiş ama birbirinden uzamsal olarak ayrılmış en az iki parçacığın, ışık hızından daha büyük bir hızda aralarında iletişim kurduğunu söyler. Ancak bu kuantum parçacıklarıyla dolanıklık elde ederek ışık hızından daha hızlı bir bilgi iletimi olduğunu göstermez. Bu iki kuantum mekaniksel parçacıkların olası durumlarının süperpozisyonu, onların tek bir kuantum sistemi olduğunun da bir göstergesidir. Ayrıca dolanıklık ilkesi bu yazının konusu olan kuantum bilgi işlemenin günümüz süper hızlı bilgisayardan neden daha hızlı olduğunu açıklayan en önemli kavramlardan biridir.
Bilgi Çağı…
“Bilgi fizikseldir.“
İçinde bulunduğumuz çağa bir isim vermek gerekirse bu Bilgi Çağı olabilir. Bilginin üretilmesi, her şeyden veri elde edilmesi ve bunların depolanması artan bir hızla devam etmekte. Dolayısıyla bilginin işlenmesi, iletilmesi ve depolanması süreçlerini, bilgiyi fiziksel sistemlere kodlayarak yapmak çağımızı bir bilgisayar çağı haline getirdi. Fizik biliminde özellikle 1900’lü yıllarda başlayan gelişmeler olmasaydı yani maddenin fotoğrafını net bir şekilde görmeseydik bilgiyi bu kadar yüksek boyutlarda işlemek ve depolamak mümkün olur muydu bilmiyoruz.
İkinci dünya savaşı sırasında askeri alanda hesaplar yapabilmek için hesaplama makineleri oluşturulmuştu. Bunlar çok ilkel olmakla beraber, şu anda elimizde olan aygıtlara hiç mi hiç benzememektedir. Konuyu dağıtmamak adına bu sürecin adımlarına çok değinmeyeceğim. Ancak bu aygıtların işlerliğinin artması için transistör denilen aygıtın icat edilmesi gerekiyordu. Bugün bilgisayarlarda yaptığımız tüm işlemler bu transistörler sayesinde gerçekleşmektedir. Gelen elektrik sinyaline göre ancak iki sonuç üretebilen transistörler, günümüz bilgisayarlarının 0 ve 1 mantığında çalışmasını sağlayan en önemli icattır.
Yarı iletkenler hakkında edinilen bilgiler klasik bilgi teknolojisinin temel bileşeni olan transistörlerin küçülmesini sağlamıştır. Böylece aynı alana daha çok transistor yerleştirilerek bilgi işleme kapasitesi artırılmıştır. 1980’li yıllarda CMOS (Bütünleyici Yarı İletken Metal Oksit) üretim hassasiyeti 1μm civarındayken bu değer günümüzde 5nm’ye kadar düşmüştür. Silisyum atomunun Van der Waals yarıçapı yaklaşık 210 pm’dir. Bu küçülme atom sınırına yaklaştığımızı göstermektedir. Ancak bu sınıra gelmeden önce klasik bilgi işlemeye kısaca değinmek gerekir.
Klasik bilgisayarlarda bilgi transistörün kapalı yani 0, ya da açık yani 1 olma durumları ile işlenir. Bu günlük yaşamda var yok, evet hayır gibi ikili durumları da sembolize edebilir. İkili sayıların karşılığı binary digit olarak adlandırılır ve bu ismin kısaltması olan bit her bir durumu temsil eder. Bunların sekiz tanesi bir araya geldiğinde ise bu kümeye byte denir. Kendi bilgisayarlarınızın gigabyte mertebesinde olduğunu düşünürseniz kapasite değerinin ne olduğu yapabilirsiniz.
Bilgi 0 ve 1’lerle kodlandıktan sonra klasik mantık kapısı denilen kapılar sayesinde işlenir. Bu kapıların bazıları şekilde görülmektedir. Entegre denilen sistemler üzerinde bu kapılar bulunmaktadır. Bunların binlerce ve milyonlarcasının bir araya gelmesi mikroişlemci denilen yapıları oluşturur. Bilgisayarlar, içlerinde barındırdıkları bu işlemcilerin sayıca artmasına karşılık, çantalarımıza, ceplerimize sığmakta ve masalarımızda zarif bir şekilde durmaktadır. Bu da transistörlerin küçülmesi anlamına gelmektedir.
Az önce, küçülen transistörlerin atom sınırına yaklaştığını ifade etmiştik. 1965 yılındaki öngörüsü ile Gorden Moore haklı çıkmıştır. Moore yasası olarak adlandırılan çalışmasında, gelişen teknoloji sayesinde bir mikroişlemcideki transistör sayısının ortalama 18 ayda bir ikiye katlanacağını söylemiştir. Bu gelişmeleri bugün görebilmekteyiz. Ancak transistörlerin sayısının bu üstel artışı atomik seviyeye yaklaştığımız gerçeğini değiştirmemektedir ve bu aynı zamanda bilgiyi işlemek için tabii olduğumuz fizik yasalarının, kuantum fiziği yasaları olduğu anlamına gelmektedir. Bugün bilgisayar şirketleri bu küçülmeyi ve beraberinde gelen hızlanmayı çok çekirdekli işlemciler kullanarak telafi edilebilmektedir ancak, bilgi işleme biriminin kuantum mekaniksel parçacıklar olması durumunda sahip olunabilecek hızı ve kaliteyi yine de sağlayamamaktadır.
Bit Yerine Kubit
Kuantum bilgi işlemede bitler yerine kübitler (yani kuantum biti) kullanılır. Kuantum mekaniksel parçacıkların, olası uzamsal ve spin durumlarıyla ifade edilen haline verilen isimdir. Bitlerin aksine bu, evet hayır değil, bu iki durumun bir karışımı olarak karşımıza çıkabilir. Bu özellikleri nedeniyle bir kübit farklı genlikli birçok durumu ifade edebilir. Kuantum üstünlüğünün sebeplerinden birisi de budur. Her bir durum olasılığı ile birlikte ifade edilebilir. İki kübit 00, 01,10 ve 11 gibi dört durumu; üç kubit 000’dan 111’e kadar olan sekiz durumu ifade eder. Bu artış üstel bir şekilde devam eder. Buradan n adet kubitin 2n adet durumu ifade edebilme kapasitesi olduğunu söyleyebiliriz.
|〉=25 |0〉+ 15 |1〉 eşitliği yüzde 80 sıfır durumunda, yüzde 20 1 durumunda olan bir kübiti temsil etmektedir.
Kübitler matrisler ile de temsil edilirler. Her bir saf durum veya süperpozisyon durumu sütun matrisleri ile gösterilir. İşleyişi anlamak açısından kubitlerin durumlarının matrisler ile temsil edilmesi büyük önem taşır. Görüldüğü gibi kübitler 2×1 lik sütun matrisleri ile temsil edilirler.
Henüz teorik çalışmalar yeni olsa da, 2 den fazla olası duruma sahip kuantum sistemler kudit olarak adlandırılır. Özellikle 3 olası durumda kutrit, 4 olası duruma sahipse kukuart ismi ile bilinir. Kubitlerde olduğu gibi, kuditlerde 2 den fazla durumla temsil edilebilecek bilgileri işlemek daha uygundur. Bu durumlarda kubitler yerine kuditlerin kullanımı birçok avantaj sağlar. Daha yüksek seviyeli bilgi kodlama kapasitesi, daha güçlü yerel olmama, daha az kuantum kapısı kullanarak aynı işlevi gerçekleştiren kuantum devre mimarisi gibi avantajlar sağlar.
Klasik bilgi işlemede olduğu gibi, kuantum bilgi işlemede de bilginin kodlandığı kübitler üzerine kuantum mantık kapıları etki ederek, durumları bir başka durumlara dönüştürür. Kübitler matris ile temsil edildiği için, onların üzerine etki edecek mantık kapıları da matrislerle temsil edilir. Bu tüm olası durumlara aynı anda etki etmesini sağlamaktadır. Böyle bir özellik klasik bilgi işlemede yoktur. Kuantum bilgi işlemede kuantum mantık kapılarının üniter olması gerekir. Üniter olmayan bir işlemci kübit üzerine etki ettiğinde kübit ile temsil edilen dalga fonksiyonunun çökmesine, dolayısıya sahip olduğu süperpozisyon durumunun kaybolmasına sebep olur. Kübitin taşıdığı bilginin kaybolmaması için, ölçme işlemcisinin dışındaki kuantum kapıları üniter olmak zorundadır.

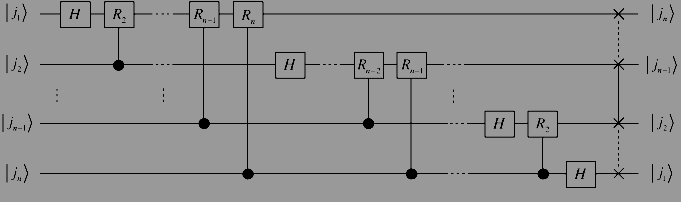
Kuantum bilgi işleme, klasik bilgi işlemeden ayıran bir diğer özellik ise paralel işlem yeteneğidir. Az çok yazılımla uğraşanlar bilir. Satır satır yazdığınız kodlar sıra ile çalışır. Bir kod okunmadan veya oradaki görev tamamlanmadan bir alt satıra geçilmez. Buna seri işleme denir. Ancak kuantum bilgisayarlar böyle çalışmaz. Durumların süperpozisyon özellikleri sayesinde kapılar tüm durumlara aynı anda etki eder. Süreç paralel işlemler halinde sürer. Eğer birden fazla girişe sahip bir kuantum devresinde çalışıyorsak, bu durumlar hadamard kapısı veya kuantum fourier transform (QFT) operatörleri sayesinde paralel hale getirilip işlenir.
Aşağıdaki resimlerde bir kuantum tam toplayıcı devre, dolanıklık devresi ve quantum fourier transform devresi görülmektedir.
1994 yılında Peter Shor, günümüzde bilginin transferi sırasında kullanılan RSA kod sisteminin güvenliğini tehlikeye atan bir algoritma önerdi. Bu algoritmanın basamaklarının birinde kuantum bilgi işleme de bulunmaktadır. Bu hesaplama ile çok basamaklı sayıların asal çarpanlarına ayrılması için geçen sürenin müthiş derecede azalması beklenmektedir. Bu da birçok çok uluslu şirketin güvenliğini tehlikeye düşürmektedir.
Google, 53 kübitlik girişe sahip bir kuantum işlemci ile kuantum bilgisayarlar için tasarlanmış bir hesaplamayı 200 saniyede gerçekleştirdiğini duyurdu. Google’ın iddiasına göre aynı hesaplamayı elimizdeki en güçlü süper bilgisayarla yapmaya kalksaydık hesaplama 10 bin yıl sürecekti. Kuantum bilgisayarlar konusunda Google’ın en önemli rakibi IBM ise 10 bin yıl iddiasına itiraz ederek,söz konusu hesaplamanın geleneksel süper bilgisayarlarla iki buçuk günde ve daha yüksek doğrulukla yapılabileceğini iddia etti. Her ne olursa olsun, bu sonuç kuantum hesaplamanın barındırdığı devasa potansiyeli gözler önüne sermeye yetiyor.
Yine bir diğer önemli algoritma Grover arama algoritmasıdır. Bu algoritma N elemanlı bir veri tabanından yaklaşık N adımda aranan bilginin bulunabileceğini söylemektedir. Oysa klasik bilgisayarlarda bu arama işlemi veri tabanına tek tek bakmaktan geçecektir. Bununla birlikte kuantum kriptografi ve kuantum ışınlama(parçacık seviyesinde) gibi konularda da çalışmalar oldukça yoğundur.
Donanımsal Zorluklar
Gelinen son nokta itibariyle kuantum bilgi işlemenin gelişim süreci, klasik bilgi işlemenin gelişim süreci ile paralellik göstermektedir. Ancak donanımsal sorunların ne zaman üstesinden gelinecek . Bir atomaltı parçacığın ölçüldükten sonra durumunu koruyamaması donanım kısmının oluşturulabilmesinin önünde büyük bir engel teşkil ediyor. Bu engel günümüzde dahi tam olarak aşılamadı. Diğer parçacıklarla etkileşmeyen, ortam sıcaklığı ve basıncı gibi çevresel şartlardan etkilenmeyen, ölçüm sırasında problem çıkarmayan yalıtık sistemler elde edememe sorunu hâlâ devam etmektedir. Bu sorun süper iletkenler kullanılarak aşılabilecek gibi duruyor. Yine de bu zorluklar sebebiyle ilk aşamada tam bir kuantum bilgisayarı oluşturmaktan ziyade, elimizdeki bilgisayarlarımıza ek bir donanım olarak tanışacağımıza dair görüş birliği de mevcut.
Bununla birlikte, Kuantum bilgi işleme süreçlerinde NMR prensiplerinin kullanılabileceği Gershenfeld ve Chuang tarafından gösterilmiştir ve iki kübit üzerine etki edecek kuantum mantık kapılarının oluşturulmasında NMR prensipleri, Price ve arkadaşları tarafından üstünde çalışılmıştır (Gershenfeld ve Chuang, 1997; Price, vd., 1999).
Kuantum hesaplamaya en çok yatırım yapan ilk dört ülke Çin (10 milyar dolar), Almanya (2,4 milyar dolar), Kanada (2.2 milyar dolar) ve Amerika Birleşik Devletleri idir (1.2 milyar dolar). Ayrıca, Hindistan ve Japonya, uluslararası düzeyde araştırma ve ticari kuruluşlarla yoğun yatırım yapan ve ortaklıklar oluşturan diğer iki ülkedir.
| Çin (2030 yılına kadar) | 10 milyar dolar |
| Kanada (son 10 yıl) | 1 Milyar Dolardan fazla |
| ABD | 1.2 Milyar dolar |
| Birleşik Krallık (2015-2019) | 385 Milyon Sterlin |
| Hollanda (Planlanan) | 150 Milyon Dolar |
| Rusya (Planlanan) | 663 Milyon Dolar |
| Güney Kore (Planlanan) | 39.7 Milyon Dolar |
| Japonya | 280 Milyon Dolar |
| Avustralya | 130 Milyon AU Doları |
| Singapur | 40 Milyon Dolar |
| Hindistan | 1 Milyar Dolar |
| İsrail | 350 Milyon Dolar |
| Avrupa Komisyonu | 1 Milyar Euro |
(Bilgiler qureco.com adresinden derlenmiştir.)
Söz Konusu Ülkelerin 2015 yılından sonraki bütçe planlarında Kuantum Teknolojilerine ayırdıkları paylar görülmektedir.
Yazar: Murat Kurt
Redaktör: Berfu Deniz Kara









Yoruma kapalı.